Capitulo 4
INVERSIONES Y FINANCIAMIENTO
DEL PROYECTO
4.1 ASPECTOS GENERALES :
Las Inversiones del Proyecto,
son todos los gastos que se efectúan en unidad de tiempo para la adquisición
de determinados Factores o medios productivos, los cuales permiten implementar
una unidad de producción que a través del tiempo genera Flujo de beneficios.
Asimismo es una parte del ingreso disponible que se destina a la compra de
bienes y/o servicios con la finalidad de incrementar el patrimonio de la
Empresa.
Las Inversiones a través de Proyectos, tiene la finalidad de
plasmar con las tareas de ejecución y de operación de actividades, los cuales
se realizan previa evaluación del Flujo de costos y beneficios
actualizados.
Por ejemplo, cuando los accionistas de una Empresa desean
invertir cierto monto de Capital en una actividad productiva y/o de servicio,
la ejecución de la Inversión requiere contar con estudios denominados
Proyectos de Inversión, los cuales justifican el requerimiento de Costos de
Oportunidad y de la Rentabilidad de la Inversión de Capital. Igualmente,
cualquier gobierno que desea impulsar el proceso de desarrollo de un país en
forma racional y oportuna, debe asignar cierto monto de recursos Financieros a
las instituciones competentes como: Instituto Nacional de Planificación,
Consejo Nacional de Desarrollo, Banco Minero, Banco Agrario, etc.
En la
practica toda Inversión de Proyectos tanto del sector publico como privado, es
un mecanismo de Financiamiento que consiste en la asignación de recursos
reales y Financieros a un conjunto de programas de Inversión para la puesta en
marcha de una o mas actividades económicas, cuyos desembolsos se realizan en
dos etapas conocido como: Inversión Fija y Capital de Trabajo.
La
Inversión Fija, es la asignación de recursos reales y Financieros para obras
físicas o servicios básicos del Proyecto, cuyo monto por su naturaleza no
tiene necesidad de ser transado en forma continua durante el horizonte de
planeamiento, solo en el momento de su adquisición o transferencia a terceros.
Estos recursos una vez adquiridos son reconocidos como patrimonio del
Proyecto, siendo incorporados a la nueva unidad de producción hasta su
extinción por agotamiento, obsolescencia o liquidación final.
Los elementos
que constituyen la estructura de la Inversión fija son clasificados de muchas
formas, pero sin variar la presentación esquemática o dejar de considerar a
todos los rubros que conforma el Cronograma de la Inversión fija. La
preparación del Cronograma de Inversiones solo puede variar cuando se trata de
algunos Proyectos especiales o en el caso de que la etapa de la ejecución del
Proyecto sea de larga duración, adecuándose en ambos casos de acuerdo a la
necesidad del Proyecto.
4.2 INVERSION FIJA Y
DIFERIDA
COMPONENTES DE LA INVERSIÓN FIJA:
Las Inversiones
Fijas que tiene una vida útil mayor a un año se deprecian, tal es el caso de
las maquinarias y equipos, edificios, muebles, enseres, vehículos, obras
civiles, instalaciones y otros.
Los terrenos son los únicos activos que no
se deprecian. Los recursos naturales no renovables, como los yacimientos
mineros, están sujetos a una forma particular de depreciación denominada
agotamiento, que es la gradual extinción de la riqueza por efecto de la
explotación. La Inversión en activos fijos se recupera mediante el mecanismo
de depreciación.
Se llama Inversión fija porque el Proyecto no puede
desprenderse fácilmente de el sin que con ello perjudique la actividad
productiva. Todos los activos que componen la Inversión fija deben ser
valorizados mediante licitaciones o cotizaciones pro forma entregados por los
proveedores de equipos, maquinarias, muebles, enseres, vehículos, etc. Los
precios para los edificios, obras civiles e instalaciones se pueden obtener se
pueden obtener sobre la base de las cotizaciones de las Empresas
constructoras.
COMPONENTES DE LA INVERSIÓN DIFERIDA:
Se
caracteriza por su inmaterialidad y son derechos adquiridos y servicios
necesarios para el estudio e implementación del Proyecto, no están sujetos a
desgaste físico. Usualmente esta conformada por Trabajos de investigación y
estudios, gastos de organización y supervisión, gastos de puesta en marcha de
la planta, gastos de administración, intereses, gastos de asistencia técnica y
capacitación de personal, imprevistos, gastos en patentes y licencias,
etc.
Para recuperar el valor monetario de estas Inversiones se
incorporan en los costos de producción el rubro denominado amortización
diferida. En otras palabras la Inversión diferida que es un desembolso de la
etapa Pre-Operativa, para su amortización sufre un prorrateo en varios
periodos para efectos de calculo del impuesto sobre las utilidades de las
Empresas, recordemos que el tratamiento otorgado a esta Inversión es similar a
la depreciación.
Cuando se habla de intereses de pre-operación, se
refiere a los pagos que se realizan en la etapa Pre-Operativa del Proyecto y
por lo general solo se halla representado por la cancelación de intereses, por
cuanto al no generar ingresos en esta primera etapa se solicita un periodo de
gracia a la entidad financiera para no cancelar Capital sino solo interés. Si
la etapa Pre-Operativa fuese muy amplia, podría darse el caso de amortizar el
Capital en algún momento.
Si el Financiamiento es con Capital propio,
el interés no constituye un desembolso efectivo, por lo tanto no se incurre en
el rubro de Inversión diferida. Los intereses cargados durante el periodo de
pre-operación son parte componente de la Inversión diferida, en cambio los
intereses generados después de la puesta en marcha del Proyecto, llamado
periodo de funcionamiento u operación, forma parte del costo total.

4.3 INVERSION EN CAPITAL DE TRABAJO
El
Capital de Trabajo considera aquellos recursos que requiere el Proyecto para
atender las operaciones de producción y comercialización de bienes o servicios
y, contempla el monto de dinero que se precisa para dar inicio al Ciclo
Productivo del Proyecto en su fase de funcionamiento. En otras palabras es el
Capital adicional con el que se debe contar para que comience a funcionar el
Proyecto, esto es financiar la producción antes de percibir
ingresos.
En efecto, desde el momento que se compran insumos o se pagan
sueldos, se incurren en gastos a ser cubiertos por el Capital de Trabajo en
tanto no se obtenga ingresos por la venta del producto final. Entonces el
Capital de Trabajo debe financiar todos aquellos requerimientos que tiene el
Proyecto para producir un bien o servicio final. Entre estos requerimientos se
tiene:
Materia Prima, Materiales directos e indirectos, Mano de Obra
directa e indirecta, Gastos de Administración y comercialización que requieran
salidas de dinero en efectivo. La Inversión en Capital de Trabajo se
diferencia de la Inversión fija y diferida, porque estas ultimas pueden
recuperarse a través de la depreciación y amortización diferida; por el
contrario, el Capital de Trabajo no puede recuperarse por estos medios dada su
naturaleza de circulante; pero puede resarcirse en su totalidad a la
finalización del Proyecto.
La Inversión en activos fijos y diferidos se
financian con créditos a mediano y/o largo plazo y no así con créditos a corto
plazo, ello significaría que el Proyecto transite por serias dificultades
financieras ante la cuantía de la deuda y la imposibilidad de pago a corto
plazo. Pero el Capital de Trabajo se financia con créditos a corto plazo,
tanto en efectivo como a través de créditos de los proveedores.
La
definición contable del Capital de Trabajo se entiende como la asignación de
recursos Financieros para activo corriente del Proyecto. Este concepto es
valido para Empresas que generan recursos a corto plazo, no tomando en cuenta
la naturaleza del Financiamiento ni las fuentes de procedencia que por lo
general son de larga duración.
El Capital de Trabajo en el mundo
Financiero es la diferencia entre activos corrientes y pasivos corrientes, que
equivale a la suma total de los recursos Financieros que la Empresa destina en
forma permanente para la mantención de existencias y de una cartera de valores
para el normal funcionamiento de las operaciones de la Empresa. Esta
concepción, conlleva a entender que el Capital de Trabajo genera necesidades
financieras de largo plazo, es decir ser financiado con recursos permanentes
provenientes de Fuente Interna o externa.
KT = A.C - P.C
El Capital de Trabajo esta compuesto por
tres cuentas principales como: Existencias, Exigibles y Disponibles cada uno
de los cuales están compuestos por un conjunto de elementos bien
definidos.

RELACIONES DE INVERSIONES:
INVERSIÓN
TOTAL:
INVERSION TOTAL = INV. FIJA + INV. DIFERIDA + CAP. DE
TRABAJO
IT
= IF + ID + KT
IF +
ID = KF (CAPITAL FIJO)
IT = KF +
KT
ACTIVO TOTAL:
ACTIVO TOTAL =
IF + ID + KT + PC (PASIVOS
CORRIENTES)
AT = KF + KT + PC
AT = IT +
PC
KT = AC - PC --> AC =
KT + PC
AT = IF + ID +
AC
AT = KF + AC
PASIVO
TOTAL:
PT = CAPITAL SOCIAL (DUENTE INTERNA)
+ OBLIGACION ES A
LARGO PLAZO (CAPITAL CREDITO)
+ PASIVO CIRCULANTE
PT = KS +
KC + PC
KS + KC = KP
(CAPITAL PERMANENTE)
KP = IT
4.4 MÉTODOS DE
CALCULO DEL CAPITAL DE TRABAJO
MÉTODO DEL PERIODO DE
DESFASE:
Permite calcular la cuantía de la Inversión en Capital de
Trabajo que debe financiarse desde el instante en que se adquiere los insumos
hasta el momento en que se recupera el Capital invertido mediante la venta del
producto, el monto recuperado se destinara a financiar el siguiente Ciclo
Productivo.
Para la aplicación de este método se debe conocer el costo
efectivo de producción anual proyectado, tomando como base de información el
precio de mercado de los insumos requeridos por el Proyecto para la
elaboración del producto final. El costo total efectivo se divide por el
numero de días que tiene el año, obteniendo de esta operación un costo de
producción promedio día que se multiplica por los días del periodo de desfase,
arrojando como resultado final el monto de la Inversión precisa para financiar
la primera producción. La formula que permite estimar el Capital de Trabajo
mediante el método señalado es:
K.T = (Costo total del año / 360 dias) * Número de dias del ciclo
productivo
Para
el calculo del Capital de Trabajo mediante este método dolo de consideran los
costos efectivos de producción denominados también costos explícitos,
excluyendo la depreciación y la amortización dela Inversión diferida; además
en este calculo no se consigna el costo Financiero porque el interés generado
durante la fase de funcionamiento del Proyecto deberá ser cubierto por el
valor de las ventas y no por el Capital de Trabajo.
Ejemplo #
1:
El costo total efectivo durante el año es de 24000u.m. proveniente
de la suma de los costos netos de adquisición de los recursos ( 2195u.m.) mas
el importe del IVA ( 205u.m.) solo de aquellos bienes y servicios que son
objeto de este impuesto. En este calculo no se incluye el costo Financiero, la
depreciación ni la amortización diferida.
El Ciclo Productivo tiene el
siguiente comportamiento:
Se mantiene en almacenes materia prima y
materiales ( existencias ) por un termino de 5 días.
El bien final se
produce en un periodo medio de 10 días.
El producto final elaborado se
almacena antes de su venta al publico durante 8 días. Una vez que el bien se
introduce al mercado se prevé que su comercialización tomara un periodo de 7
días para que se paguen las facturas de venta ( A los clientes no se les darán
facilidades de crédito ).
Como se observa en el ejemplo, el sistema de
producción se compone de un conjunto de Actividades, que pueden representarse
así:

Por
consiguiente, el Capital de Trabajo invertido queda inmovilizado por un
promedio de 30 días ( 5+15+8+7 = 30 ), con lo que las necesidades de Capital
de Trabajo para cubrir un ciclo se elevan a 200u.m. monto calculado aplicando
la formula anterior.
K.T = (2400/365)*30 = 200 u.m.
En el ejemplo el
Ciclo Productivo abarca 30 días, entonces el Capital requerido para cada ciclo
( un mes ) será de 200u.m., como el año tiene 12 meses se tendrá 12 ciclos
productivos que multiplicados por el monto del Capital de Trabajo de un ciclo,
se obtiene el costo explicito total de producción por año, que es igual a
2400u.m. ; ( 200*12 = 2400 ).
MÉTODO CORRIENTE ( M.C.):
El
método corriente o método contable toma como relación del Capital de Trabajo
el siguiente:
KT = A.C - P.C
Como ya se desgloso los Activos
Corrientes son por lo general y a manera de resumen las cuentas como ser:
Caja, Cuentas por Cobrar, Existencias ( Materias Primas, Productos en Proceso,
Productos terminados). Y los Pasivos Corrientes son las obligaciones en las
que incurre la Empresa como ser: Cuentas por pagar. Se calcula de la siguiente
manera:

- Hallar
el Periodo de desfase ( PD = x ) o días de cobertura, prever en días un PD.
Y = Coeficiente de Renovación

- No tomar en
cuenta para el KT, los intereses ni las depreciaciones.
- De la estructura
de Costos ver cual de ellos ingresa en la tabla.
- Se debe definir el
tiempo u horizonte del Proyecto, muchas veces se toma como el tiempo del
Proyecto la vida útil de la maquinaria.
- El programa de Producción
dependerá de nosotros.
- Los Activos Corrientes esta en función de la
producción si esta es continua, variable, etc.
4.5 CRONOGRAMA DE
INVERSIONES
Cuando se habla del Cronograma denominado también
calendario de Inversiones, nos referimos a la estimación del tiempo en que se
realizarán las Inversiones fijas, diferidas y de Capital de Trabajo; así como
a la estructura de dichas Inversiones. Si existiese Inversiones de Reemplazo
entonces habrá que determinar el momento exacto en que se
efectivice.
Todo Proyecto requiere preparar un Cronograma de
Inversiones que señale claramente su composición y las fechas o periodos en
que se efectuaran las mismas. Las Inversiones no siempre se dan en un solo mes
o año, lo mas probable es que la Inversión dure varios periodos.
El
Cronograma de Inversiones se elabora para identificar el periodo en que se
ejecuta parte o toda la Inversión, de tal forma que los recursos no queden
inmovilizados innecesariamente en los periodos previstos.
En
conclusión, el Cronograma responde a la estructura de las Inversiones y a los
periodos donde cada Inversión será llevada adelante. En tal sentido se debe
identificar el Cronograma de la etapa Pre-Operativa y de la etapa
operativa.
CRONOGRAMA DE INVERSIONES PRE-OPERATIVAS:
Esta
Etapa se inicia desde el primer desembolso hasta que el Proyecto entre en
funcionamiento. Durante la vida Pre-Operativa el Proyecto solo tiene
desembolsos sin generar ingreso alguno, por cuanto no se produce el bien o
servicio que permita obtener ingresos con la venta del producto.
Del total
de la Inversión, el monto mas significativo se da en la etapa Pre-Operativa,
presentándose casos extremos donde el 100% de la Inversión se efectúa en esta
fase, no quedando nada por invertir en la etapa de funcionamiento u operación
del Proyecto. En este periodo, generalmente, la Inversión mayor es la
Fija.
En la Etapa Pre-Operativa se calcula los intereses derivados de
aquellas parte de la Inversión que se financia mediante préstamo o deuda.
Estos intereses pre-operativos se Capitalizan y se recuperan a lo largo de la
etapa operativa del Proyecto a través del rubro denominado "Amortización
Diferida".
Las Inversiones no se desembolsan en conjunto en el momento
cero( año 0 ), fecha de inicio de la operación del Proyecto. De acuerdo a las
necesidades, los desembolsos se efectúan en diferentes periodos de tiempo,
ante esto, es recomendable identificar el momento en que el desembolso se
realizara(cada mes, cada tres meses, etc.), para ello se deberá elaborar un
Cronograma desagregado de las Inversiones Pre-Operativas identificando el
momento de la Inversión (mes cero, trimestre cero, etc.).
Para conocer el
periodo de desembolso y por ende la necesidad de Financiamiento en el momento
exigido, evitando de esta forma posibles costos Financieros generados por los
préstamos obtenidos. Recurrir al préstamo y desembolsar los recursos cuando
aun no se precisa conlleva a cargar al Proyecto un costo de Capital, que muy
bien se puede evitar desembolsando los recursos solo en el momento
oportuno.
Para fines de análisis, las Inversiones realizadas a lo largo
del periodo de instalación del Proyecto, generalmente, se consolidan en el año
cero, siempre y cuando el periodo de pre-operación solo se de ese año, no
olvidemos que dependiendo de la naturaleza del producto del Proyecto, el
periodo de Pre-Inversión puede abarcar mas allá del año
cero.
CRONOGRAMA DE INVERSIONES OPERATIVAS:
Esta etapa se
inicia desde aquel momento que el Proyecto entra en operación y termina al
finalizar la vida útil del mismo. A partir de esta fase se generan Ingresos.
Durante la etapa operativa pueden llevarse a cabo Inversiones en activos
fijos, como resultado de la ampliación de la planta y reposición o Reemplazo
de activos. En esta fase se efectúan la Inversión inicial en Capital de
Trabajo.
Cabe señalar que los intereses de la etapa operativa derivados
del Financiamiento por deuda adquirida, no se Capitalizan, si no que se cargan
como costo en el estado de Perdidas y Ganancias.
CRONOGRAMA
CONSOLIDADO DE INVERSIONES:
El Formato del Cronograma de Inversiones se
presenta en el siguiente cuadro, su elaboración se realiza tomando en cuenta
las Inversiones Pre-Operativas y las Inversiones operativas.

Observe que las Inversiones Fijas, Diferidas y el
Capital de Trabajo se efectúa en el año cero ( momento cero ). No olvidemos
que existen Proyectos donde otras Inversiones pueden estar programadas para
los años de operación o funcionamiento, tal es el caso de la ampliación de la
Planta, el Reemplazo de activos o Inversiones adicionales de Capital de
Trabajo. En el cuadro precedente, a manera de ejemplo, esas Inversiones se las
representa por asteriscos ( * ).
4.6 INVERSIONES DE
REEMPLAZO
Recordemos que las Inversiones que se implementan antes de la
puesta en marcha del Proyecto se incluyen en el calendario o programa de
Inversiones; pero existen Inversiones que pueden efectuarse durante el
funcionamiento del Proyecto, ya sea por la ampliación de la capacidad
productiva de la planta o por concepto de Reemplazo de un activo por otro, que
se presenta de acuerdo a criterios técnicos que recomiendan el periodo de
Reemplazo de algunos Activos Fijos.
Existen dos razones básicas para
considerar el Reemplazo de un Activo Fijo; el deterioro físico y la
obsolescencia. En el primer caso, el deterioro físico se refiere únicamente a
cambios en las condiciones físicas de dicho activo y, en el segundo caso, la
obsolescencia trata de los efectos que producen sobre un activo los cambios
tecnológicos. Ambos casos pueden presentarse en un determinado activo, ya sea
de manera independiente o de forma conjunta.
El deterioro físico da
lugar: a un descenso e el valor del servicio prestado; a mayores costos de
operación; a un incremento en los costos de mantenimiento; o una combinación
de todos ellos. Por ejemplo, el deterioro físico puede disminuir la capacidad
de un equipo para pegar etiquetas o de un tractor para mover la tierra.
Consecuentemente el valor de los servicios que prestan se reduce. También el
deterioro físico de estos activos puede dar lugar a mayores gastos en
reparaciones; elevar el consumo de energía eléctrica o combustible aumentando
de esta forma los costos de operación.
A la vez, la obsolescencia se
presenta como resultado del mejoramiento tecnológico que experimentan los
equipos, maquinarias y herramientas de Trabajo. El ritmo de mejoramiento es
tan rápido que en algunos casos resulta económico reemplazar el activo en uso,
aun cuando se halle en condiciones de operar, por otro activo
nuevo.
Generalmente el Reemplazo debe basarse en Factores económicos si
el uso del activo es antieconómico para el Proyecto o, si los costos
incurridos para mantener en operación ese equipo o maquinaria son mayores que
los costos de Inversión y operación de uno nuevo, en estos casos se emplea el
criterio económico para reemplazar activos. En algunas ocasiones, para el
Reemplazo entran también otros motivos diferentes a los puramente económicos,
como por ejemplo el criterio contable donde se deberá tomar como momento de
Reemplazo el periodo en que un activo culmina su vida útil contable.
La
Inversión de Reemplazo puede dar lugar a la venta del activo, entonces esa
operación constituye un ingreso monetario para el Proyecto y la adquisición de
un activo nuevo es un costo de Inversión (egreso monetario). Los Reemplazos
deben consignarse en el cuadro del Cronograma de Inversiones de acuerdo al
periodo en que se realiza esa operación.
Ejemplo #2:
Se
pretende Reemplazar la maquina antigua por otra nueva. El precio de la maquina
nueva es de $us. 5000 y tienen como costo de mantenimiento $us. 500 al final
de cada año durante cuatro años. Al cabo de los cuatro años se estima un valor
de recuperación de $us. 1000, precio al cual se venderá el activo nuevo
adquirido.
Por el contrario la maquinaria antigua, que se quiere
Reemplazar, hoy se puede vender en $us. 2000; pero si se vende de aquí a un
año el precio de reventa será de $us. 800 y durante ese año se tendrá que
gastar $us. 600 por mantenimiento para que continué funcionando. La maquina
durara cuatro años mas, antes de quedar inservible ¿Cuándo se debe reemplazar
la maquina si se conoce que el costo de oportunidad del Capital es del
8%?
Para conocer el momento de Reemplazo y el criterio económico que
permita tomar una decisión, Primeramente se encuentra el costo anual
equivalente de la maquina nueva. El Valor actual del costo de reposición (VA)
por una maquina nueva es la siguiente:

Donde:
P :
Precio de la maquinaria.
C: Costo de mantenimiento anual.
A:
Anualidad.
n : Periodo
i : Tasa de interés
F : Factor de valor
actual.
VA = 5000 + 500 A40.08 - 1000 /
(1.08)4
VA = 5000 + 500(3.3120)-1000(0.7350)
VA = 5921 $Us.
Si no se tiene a la mano las tablas financieras, los Factores se
pueden hallar empleando la siguiente relación:

En el ejemplo
la taza de interés ( i ) es del 8% y el periodo ( n )es de cuatro años,
reemplazando estos datos en la relación anterior se tiene:

El Valor
actual también se puede determinar sin incurrir en tablas se la siguiente
forma:

El valor de
recuperación de $us. 1000 es un ingreso en efectivo. Se considera como un
valor negativo en la ecuación anterior porque compensa el costo de la antigua
maquina.
COSTO ANUAL EQUIVALENTE DE LA REPOSICIÓN POR MAQUINA
NUEVA:
VA / factor de la anualidad a 4 años al 8% = 5921/3.3120 = 1788
$us.
Costo de la Maquina antigua:
Del ejemplo se desprende que
el costo de mantener la maquina antigua durante un año mas. Considera los
siguientes elementos:
1. El costo de oportunidad de no venderla ahora
es de $us.2000
2. El mantenimiento adicional año es de $us.600
3. El
valor de recuperación o precio de reventa es de $us.800
Por lo tanto el
valor actual de conservar la maquina un año mas y venderla es igual a
:
VA = 2000 + 600/(1+0.08)1 - 800/(1+0.08)1
VA
= 2000 + 555.55 - 740.74
VA = 1814.81 $us
Normalmente el
Flujo de caja se expresa en términos del valor actual, pero el análisis
posterior es mas sencillo si expresamos el Flujo de caja en términos de su
valor futuro dentro de un año, en este caso se tendrá:
VA = 1814.81*1.08 = 1960 $us
En otras palabras, el costo
equivalente de conservar la maquina un año mas es de $us.1960 al final del
año.
Si se reemplaza la maquina de inmediato, podemos considera el gasto
anual de maquina nueva será de $us.1788 comenzando al final del año. Este
gasto anual ocurre constantemente si se reemplaza la maquina cada cuatro años.
El Flujo se puede observar en el siguiente cuadro:

Si la maquina
antigua se reemplaza en un año, el gasto por usar la maquina antigua durante
ese año será de $us.1960 a pagar al final del año. Pero si se repone ese
activo el gato anual será de $us.1788 al cabo del segundo año. Este costo
anual ocurrirá constantemente si reemplazamos la maquina antigua cada cuatro
años. Lo expresado se puede apreciar en el siguiente Flujo:

Entonces, de
acuerdo al ejemplo, el Reemplazo de la maquina antigua por una nueva debería
ser de inmediato para reducir al mínimo el gasto del año 1. Los costos de
conservar la maquina antigua durante un año es mayor que el CAE (Costo Anual
Equivalente) de comprar una maquina nueva.
4.7 RECURSOS
MONETARIOS
Son aquellos recursos que provienen de las Instituciones
Financieras como: La Banca Comercial, El Banco Central de Reserva, Los Bancos
de Fomento y La Bolsa de Valores los cuales sirven para crear, costear y
adelantar fondos a través del acto de financiación; el cual consiste en la
obtención de recursos reales y Financieros para la ejecución de Proyectos. Es
un medio a través del cual el Proyecto pone en acción y operación la capacidad
instalada de la planta con el acto de financiar.
La Financiación se
ocupa de la búsqueda de Capital a través de los diferentes mecanismos de
obtención de recursos Financieros y de la especificación de los diferentes
Flujos de origen y uso de fondos para el periodo de tiempo
estipulado.
Los Recursos Financieros del Proyecto pueden ser
monetarios, emisión de acciones, bonos y créditos bancarios, también pueden
ser investigaciones, servicios y servicios afines. Asimismo, por su
procedencia pueden ser de origen interno ( moneda nacional ) y de origen
externo ( moneda extranjera). También pueden ser de Fuente Interna o Fuente
Externa. Dependiendo del origen de los recurso Financieros del
Proyecto.
En la Fase de Ejecución, los recursos Financieros son
requeridos para Inversión fija; mientras que en la Fase de Operación se
requieren para Capital de Trabajo. En ambas fases, parte de los recursos
Financieros se pueden utilizar para el pago de servicios e Inversión en
intangibles como: investigaciones, patentes, organizaciones, supervisión y
estudios afines.
El estudio de Financiamiento se inicia con la
elaboración del plan de Financiamiento y dentro de ello se programa el
requerimiento de recursos reales y Financieros para la fase de estudio
definitivo, ejecución y operación del Proyecto; para cuyo fin, se debe tener
en cuenta la fecha de adquisición del Capital, el monto global por rubro de
Inversión y el calendario o Cronograma de Inversiones.
Los Recursos
Financieros son medios de pago convencionalmente utilizados como expresión
simbólica del valor de los recursos físicos o reales obtenidos por el
Proyecto. Entre los medios de pago mas usuales y abundantes tenemos el dinero,
cheques, pagares, letras bancarias, ordenes de pago, títulos y valores al
portador. Asimismo, tenemos los derechos especiales de giro (DEG) y los
compromisos de pago verbal o escrita.
La obtención de Recursos
Financieros con destino a la implementación de actividades productivas de
bienes o servicios se denomina Financiamiento y es el mecanismo por el cual se
asigna recursos al Proyecto.
La Asignación de Fondos es un requisito
imprescindible para invertir como para formular el estudio, a través de el se
indica la magnitud del Capital requerido. El Proyecto no seria útil sino
contara con Financiamiento, por lo tanto las restricciones de carácter
Financiero pueden definir los parámetros del Proyecto bastante antes de tomar
la decisión de invertir.
La Necesidad de Capital en la fase de
instalación o Pre-Operación, se determina cuando se conoce el tamaño, la
localización y los costos de Inversión fija y diferida. Asimismo el
requerimiento Financiero para la etapa de funcionamiento del Proyecto se la
efectúa una vez que se estiman los costos de producción. Las estimaciones
deben ser las mas adecuadas posibles, tanto en la etapa de instalación como de
funcionamiento u operación, para que el Proyecto no transite por problemas
Financieros.
Determinados los niveles de Inversión, seguidamente se
identifican los Canales o Fuentes de Financiamiento. Para ello se consideran
diferentes aspectos relacionados con la obtención de los recursos Financieros,
como la identificación de las fuentes y condiciones en que se obtendrán esos
fondos, los montos y fechas, de tal manera que se cumpla con el calendario de
Inversiones.
La Inversión Total de un Proyecto puede ser Financiada
mediante prestamos ( Fuentes Externas ) o con Fondos Propios del
Inversionistas ( Fuentes Internas ). La Estructuras del Financiamiento debe
señalar por lo tanto la proporción deuda - recursos propios.
4.8
FUENTES DE FINANCIAMIENTO
4.8.1 FINANCIAMIENTO INTERNO O CON APORTE
PROPIO:
Llamado también de Fuente Interna, esta constituido por el
aporte del inversionista o promotor del Proyecto. Los recursos propios pueden
destinarse a la Inversión fija, diferida y/o Capital de Trabajo.
El
Financiamiento del Proyecto es de Fuente Interna, cuando los recursos
Financieros de las operaciones de la Empresa filial, los cuales son destinados
como reservas para amortizaciones y reservas afines.
a. Reservas
Para Utilidades no Distribuidas
Son Reservas de Capital que se acumulan
y reservan para el Fondo de Amortización de contingencias y aplicación de
planta.
b. Reservas Para Amortizaciones.
Son Recursos
deducibles con propiedad de las partidas del activo, con las cuales están
plenamente relacionados. Esta compuesto por reserva para agotamiento de
recursos y amortizaciones de cargas diferidas.
c. Reservas
Afines.
Son Reservas del Pasivo, registrados y compuestos por recursos
para reserva de incentivos, beneficios de retiro de los trabajadores y
reposición de productos.
Reservas, Recursos Financieros que representan
las utilidades no distribuidas o retenidas para fines ya establecidos, son
reservados como Capital de Trabajo para beneficio de los tenedores de bonos.
Por ejemplo, la reserva para fondo de amortizaciones una vez cancelada la
deuda del edificio, equipo o maquinaria y construcciones es transferida a la
cuenta de utilidades no distribuidas.
El Financiamiento basado en
Fuente Interna, solo es posible en caso de existir filiales o Empresas en
funcionamiento, siendo el ejecutor del Proyecto dueño o accionista de la
misma. Se considera como Fuente Interna, cuando los recursos Financieros
provienen del ente ejecutor o accionistas del Proyecto y son reinvertidos en
nuevos Proyectos, siendo el origen de estos fondos las utilidades no
distribuidas o retenidas para estos fines.
Las ventajas que se obtienen
cuando los recursos Financieros provienen de la Fuente Interna son:
- Se
mantiene la flexibilidad Financiera.
- No existen problemas en los pagos
tanto de intereses como amortizaciones de préstamo.
Las desventajas que
se obtiene con los recursos que provienen de Fuente Interna son:
- No es
posible aprovechar la posibilidad de obtener prestamos a interés
convenientes.
- No se aprovecha ciertas ventajas impositivas
existentes.
4.8.2 FINANCIAMIENTO EXTERNO O MEDIANTE
PRESTAMO:
Denominado también Fuentes Externas, son Recursos que se
pueden obtener de Terceros: Instituciones Bancarias Nacionales e
Internacionales, Compañías de Arrendamiento Financiero, Organismos
Internacionales, Crédito de Proveedores y Entidades Comerciales o de Fomento.
Para recurrir a las Fuentes Externas de Financiamiento se tiene que conocer
las condiciones que imponen.
Los Capitales requeridos se dividen a su
vez en Prestamos a Corto Plazo, Mediano y Largo Plazo. Para Financiar el
Capital de Trabajo generalmente se debe acudir a Créditos a Corto Plazo, Las
Inversiones Fijas y Diferidas se cubren con Créditos de Mediano y/o Largo
Plazo. Para el ejemplo hipotético que estamos desarrollando la estructura de
Financiamiento es:


Como se dijo
con anterioridad, en cuanto a los tipos de fuentes de Financiamiento, se
detallo las fuentes internas y las externas, mas existen otra clasificación
parecida, que es:
Fuentes Duras: Cuando necesariamente las tasas de interés
son altas, como los Bancos.
Fuentes Concesionales: Las tasas de intereses
son nominales bajas, como las entidades de apoyo. Si un Proyecto es netamente
privado, la única fuente de Financiamiento es los Bancos.
4.9 PLAN
DE FINANCIAMIENTO
Conocido como Presupuesto de Financiación es un
Instrumento de Servicio a la Deuda que contiene un grupo de Desembolsos cuyo
cargo periódico efectuados por el Prestatario están compuestos en dos partes
como Amortización e Intereses. El Periodo convenido entre el Prestamista y El
Prestario para el desembolso del Préstamo de las Instituciones Financieras
dependerá de la Magnitud del Monto, Horizonte de Planeamiento, Entidad
Ejecutora, Consultora y Capital del Proyecto; siendo estos representados en
los cuadros de presupuesto de financiación con sus respectivas
amortizaciones.
Se debe establecer las condiciones establecidas por los
agentes Financieros que otorgarán el préstamo a favor del Proyecto. Dichas
condiciones comprenden:
El periodo de préstamo (corto, mediano, largo
plazo), las garantías exigidas, los intereses aplicados y el tiempo de
diferimiento (años de gracia) otorgado donde se cancela solo intereses y no
así el Capital.
El Capital adquirido vía préstamo se devuelve mediante
pagos periódicos, amortizando parte del Capital y cancelando
intereses.
¿Qué ES AMORTIZACIÓN?
Es la extinción gradual de una
deuda, vale decir, es la cantidad de dinero que corresponde a la devolución de
una parte del Capital, en otros términos, del saldo adeudado. Es el monto,
cantidad o valor monetario establecido bajo modalidades de calculo para ser
devueltos al prestamista en un plazo fijo o variable de acuerdo a la política
de las instituciones financieras, siendo este monto una parte de la renta de
la Empresa y otra parte del monto principal del saldo adeudado.
¿Qué ES
INTERÉS?
Los intereses son montos que se cancelan por el empleo del Capital
solicitado en préstamo. El interés es el precio que se paga por el uso de
dinero ajeno. Es el monto establecido bajo calculo y según la tasa de interés
al servicio de prestamos. Es decir, es aquel monto de dinero que paga el
Proyecto por el uso de Capital adquirido en forma de préstamo, según su costo
de oportunidad en su momento de su adquisición y las tasas de interés
existentes en el mercado de Capital de la banca comercial e institución
financieras.
4.10 SISTEMA DE AMORTIZACIÓN CONSTANTE ( SAC
):
Este método es manejado generalmente por Cooperativas, no tanto por
los Bancos. Gráficamente, se interpreta de la siguiente manera:

Ejemplo #
1:
Sea el monto que nos deseamos prestar de $us.20000, para un periodo
de cinco años, cuya tasa de interés es del 10%, aplicando el método SAC,
Realizar la tabla que permita observar la prestación, el interés y la
amortización anual.

4.11
SISTEMA DE AMORTIZACIÓN BANCARIO ( PRICE ):
Este método es usado por
los bancos y gráficamente se puede interpretar de la siguiente manera:

Ejemplo #
2:
Sea el monto que nos deseamos prestar de $us.20000, para un periodo
de cinco años, cuya tasa de interés es del 10%, aplicando el método PRICE,
Realizar la tabla que permita observar la prestación, el interés y la
amortización anual.
MÉTODO PRICE

Este método asume que la
prestación es constante, siendo la prestación la cuota que se paga de manera
mensual o anual considerando tanto el interés como la amortización.
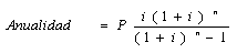
Se debe
primeramente calcular la prestación constante, con la ecuación de anualidad,
la misma relación es:


La
Amortización inicial se calcula con la siguiente expresión:

Estos métodos
estudiados son los mas usuales para determinar el servicio de la deuda. La
diferencia entre el método PRICE y SAC, radica que en el primer método el
costo Financiero total es mas elevado que el segundo, pero tiene como ventaja
que la amortización de Capital es menor en los primeros años. Debido a esto,
el índice de cobertura mejora significativamente y es mas accesible para
nuevas Empresas porque la carga del servicio de la deuda es mas baja. Sin
embargo con ese método al final se llega a cancelar un monto mayor como efecto
del comportamiento de los intereses.
El Proyecto debe buscar en lo
posible dinero barato, es decir Capital solicitado en préstamo con interés
menor que el sistema bancario comercial; esto ayudara a elevar el rendimiento
sobre la Inversión. La forma de pago a adoptarse esta condicionada a las
exigencias de las instituciones crediticias.